Tehted astmete & juurtega

Tehted astmete & juurtega valemid

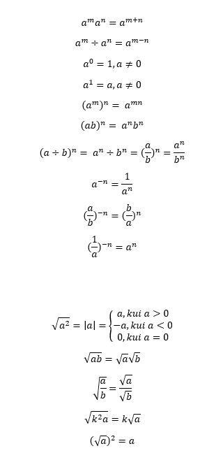
Tehted astmetega:
Ühe ja sama alusega astmete korrutamisel astendatakse alus antud astendajate summaga.
Ühe ja sama alusega astmete jagamisel astendatakse alus antud astendajate vahega.
Iga nullist erinev arv astmes 0 on võrge 1-ga.
Iga nullist erinev arv astmes 1 on võrdne iseendaga.
Astme astendamisel astendatakse alus astendajate korrutisega.
Korrutise astendamiseks astendatakse iga tegur eraldi ja tulemused korrutatakse.
Jagatise astendamiseks astendatakse jagatav ja jagaja eraldi ja tulemused jagatakse.
Negatiivse astendaja korral leiame aluse pöördarvu ja astendame positiivse astmega.
Allar Veelmaa video sarnasel teemal: